Реклама
Главная
Новости
Новости по-старому
Новости по категориям
Власть
Общество
Культура
Медицина
Образование
Спорт
Благоустройство
Коммунальная сфера
Экономика и бизнес
Правопорядок
Происшествия
Из жизни
Непознанное
В регионе, в стране
Оперативная информация
Статьи
Каталог фирм
Яндекс.Погода



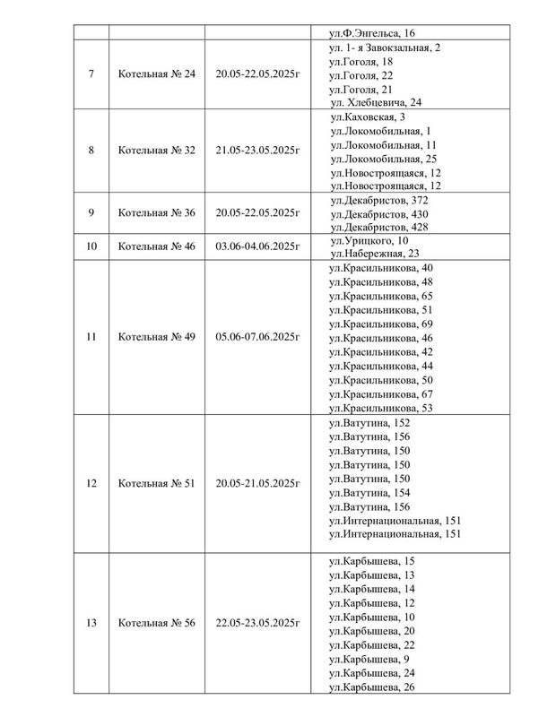
Горячая вода пропадет в десятках домов Сызрани, ищите свой адрес в списке



Комитет ЖКХ предупреждает о начале проведения гидравлических испытаний тепловых сетей, обслуживаемых ООО «Энергетик». В комитете озвучили дату отключения горячей воды и сообщили адреса, по которым будет отключена вода. «В связи с подготовительными мероприятиями к предстоящему отопительному сезону, а именно гидравлическими испытаниями на прочность и плотность тепловых сетей, уже с 20 мая в ряде многоквартирных домов будет приостановлена поставка коммунальной услуги горячего водоснабжения», - сообщает КЖКХ Сызрани. В таблице ниже указаны все адреса отключений и график проведения гидравлических испытаний. Отметим, что дата возврата коммунальной услуги не сообщается.












19 Май 2025, 15:13 /


Подписывайтесь на наш Телеграм-канал, блог в Дзен и MAX
Читайте нас в Новости и Google.Новости


Если вы заметили опечатку, выделите часть текста с ней и нажмите Ctrl+Enter. Спасибо!
Пожалуйста, выделяйте фразу с опечаткой, а не только одно неверно написанное слово.



БЫСТРЫЙ ПЕРЕХОД:

КОНТАКТЫ ПОРТАЛА
маленькая Сызрань:


webmaster@syzran-small.ru
телефон редакции 8-903-303-17-02
условия размещения рекламы

Свидетельство о регистрации СМИ:
ЭЛ № ФС 77-87116 от 22.04.2024
выходные данные СМИ
Условия использования материалов

СТАТИСТИКА:

Яндекс.Метрика   


Генерация страницы: 0.023 с.
Всего 4 запроса к базе.


© 2005-2026
Размер шрифта:
Цветовая схема:
Изображения: